学院动态
我校数理学院熊伟副教授在非互易量子相变研究中取得重要进展
来源:数理学院 浏览人数: 发布时间:2026-03-09
近日,我校数理学院熊伟副教授在非互易量子相变研究领域取得重要突破,提出了一种利用磁振子克尔效应实现非互易超辐射量子相变的新机制。相关研究成果以“Nonreciprocal superradiant quantum phase transition induced by the magnon Kerr effect”(磁振子克尔效应诱导的非互易超辐射量子相变)为题,发表于国际物理学权威期刊《物理评论A》(Physical Review A)。温州大学为通讯单位,熊伟副教授为共同通讯作者。


超辐射量子相变是量子光学和量子相变领域的核心科学问题之一,描述了光与物质耦合系统中从正常相到超辐射相的临界转变。近年来,非互易量子相变因其在量子信息处理和非互易量子器件设计中的潜在应用价值而备受关注。然而,已有的非互易超辐射相变方案大多依赖于复杂的系统设计或苛刻的实验条件,在现有量子平台上难以实现。
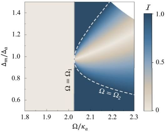
针对这一挑战,熊伟副教授与杭州师范大学张国强副教授等合作,创新性地提出在腔磁振子系统中利用磁振子克尔效应来实现非互易超辐射量子相变。该系统由参量驱动的微波腔与钇铁石榴石(YIG)球中的磁振子模式通过磁偶极相互作用耦合而成。研究团队发现,磁振子克尔效应的系数K的符号可通过调节YIG球的外加磁场方向进行精确控制:当磁场沿晶轴[100]方向时,K > 0;当磁场沿[110]方向时,K < 0。通过系统的稳定性分析,团队获得了系统的稳态相图,发现K > 0和K < 0两种情况下的相图存在显著差异,分别呈现出不同的临界阈值和相变类型(一级或二级)。进一步研究磁振子数及其量子涨落随参量驱动强度的变化,团队证实了超辐射量子相变的非互易性,并创新性地引入“双向对比度”参数对非互易行为进行了定量刻画。


熊伟副教授长期从事量子光学与量子信息领域的理论研究,在自旋强耦合实现、量子相变、混合量子器件、非线性光学等方面取得了一系列创新性成果。该项研究不仅为理解非互易量子相变提供了全新的理论视角,也为基于非互易效应的量子器件(如单向放大器、量子路由器、定向量子传感器等)的研发设计开辟了新途径。研究结果表明,该方案在现有实验条件下具有良好的可行性,未来有望在实验上实现并进一步探索其在量子信息处理中的应用。
该研究工作得到了国家自然科学基金、浙江省自然科学基金、深圳国际量子研究院开放基金等的资助。
论文信息:
Guo-Qiang Zhang, Si-Yan Lin, Wei Feng, Lijiong Shen, Yi-Hao Kang, and Wei Xiong*, Nonreciprocal superradiant quantum phase transition induced by the magnon Kerr effect, Phys. Rev. A 113, 094403 (2026). DOI: 10.1103/qr8d-dh7g




