学院动态
我校数理学院熊伟副教授在磁振子压缩态制备研究中取得重要进展
来源:数理学院 浏览人数: 发布时间:2026-03-09
近日,我校数理学院熊伟副教授在磁振子量子态调控领域取得重要突破,提出了一种在腔-磁振子-量子比特混合系统中制备磁振子压缩态的新方案。相关研究成果以“Magnon squeezing near a quantum critical point in a cavity-magnon-qubit system”(腔-磁振子-量子比特系统中量子临界点附近的磁振子压缩)为题,发表于国际物理学权威期刊《物理评论A》(Physical Review A)。温州大学为通讯单位,熊伟副教授为共同通讯作者。
磁振子作为磁有序系统中自旋波的量子化准粒子,因其具有高自旋密度、低耗散率、良好可调谐性等优异特性,成为量子信息处理和量子传感领域的研究热点。制备磁振子的非经典态(如压缩态、纠缠态、猫态等)是量子磁学研究的核心课题之一。其中,磁振子压缩态因其能够突破标准量子极限,在量子精密测量等方面具有重要应用前景。

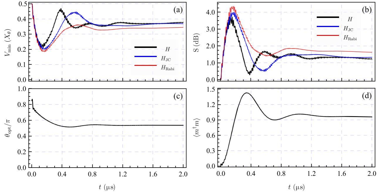
针对这一前沿课题,熊伟副教授团队与浙江大学李杰教授团队合作,创新性地提出在微波腔-磁振子-超导量子比特混合系统中制备磁振子压缩态的新方案。该方案通过将微波腔与大失谐的磁振子和量子比特耦合,绝热消除腔模后获得有效的磁振子-量子比特相互作用。在此基础上,通过对量子比特施加两束微波驱动场,并精确调控驱动频率和振幅,成功构建了有效的拉比型磁振子-量子比特相互作用。研究表明,在有效拉比模型的正常相中,这种相互作用会产生类似参量放大的双磁振子过程,从而动态地产生磁振子压缩态。更重要的是,当系统参数调至基态超辐射相变临界点附近时,压缩效应会得到显著增强。
研究团队进一步分析了耗散、退相干和热噪声对磁振子压缩的影响。数值模拟结果表明,利用当前实验上可实现的参数(如微波腔频率约6.47 GHz、磁振子耗散率约0.5 MHz、温度10 mK等),该方案可实现约3.7 dB的磁振子压缩。该压缩效应对系统耗散和热噪声具有一定的鲁棒性。研究还展示了磁振子模式的维格纳函数分布,清晰地呈现出压缩态的特征。

熊伟副教授长期从事量子光学与量子信息领域的理论研究,在自旋强耦合实现、量子相变、混合量子器件、非线性光学等方面取得了一系列创新性成果。该项研究不仅为磁振子非经典态的制备提供了全新思路,也为基于磁振子的量子信息处理和量子精密测量奠定了理论基础。与现有方案相比,本工作具有独特的物理机制:不同于基于有效Jaynes-Cummings模型的直接参量放大方案,本方案关键依赖于有效量子拉比模型的相变特性,为磁振子压缩态的制备开辟了新途径。
该研究工作得到了国家自然科学基金、浙江省自然科学基金、深圳国际量子研究院等的资助。温州大学数理学院为该项研究提供了良好的科研平台和支持。
论文信息:
Gang Liu, Gen Li, Rong-Can Yang, Wei Xiong*, and Jie Li*, Magnon squeezing near a quantum critical point in a cavity-magnon-qubit system, Phys. Rev. A 113, 033707 (2026). DOI: 10.1103/d2st-rr91




